
文:陆远熙
在中国,有一种特殊的食物一直被称为是“拼死吃美味”的典范,那就是云南的野生菌。由于云南有着特殊的、适宜野生菌生长的气候环境,吃野生菌自然成为了当地人民的一大传统,但云南野生菌成为“网红”,却是因为误食毒蘑菇中毒后所出现的各种稀奇古怪的幻觉。事实上,毒蘑菇能够引起幻觉,主要和其中所含有的能够“诓骗”大脑的物质密切相关,而自然界中,可以诱发幻觉的天然植物,可绝非仅仅有毒蘑菇一种。

大脑的“传令兵”——神经递质
在探究毒蘑菇的“无穷威力”之前,我们不妨来了解一下大脑在完成思考、行动等工作时的内在机制。众所周知,大脑内存在着数以亿计的神经细胞,而在完成某个特定任务时,尽管所实际涉及的细胞占比不高,但数量还是非常可观的。这样一来,一个似乎有些难办的问题便摆在眼前——这么多的细胞,究竟要靠何种方式,才能让它们完美合作呢?
对于这个问题,大脑有着自己的解决方案,那就是神经递质系统。所谓神经递质,就是一类“身轻如燕”(分子量不高)、“穿梭自如”(不会被大脑内的保护机制所拦截)的化学物质,它们如同“传令兵”一般,在不同的神经细胞之间传达各类信号,调节大脑的各种活动。在完成任务之后,多余的神经递质会被神经细胞“召唤”回到细胞内(即为“再摄取”作用)。
在人类的大脑中,有多达数十种的神经递质在为神经细胞之间的信号传递服务,而可能令人感到惊讶的是,不仅仅不同的神经递质具有不同的作用、传递不同的信息,同一种神经递质在不同部位传达的信号也有着天壤之别。例如著名的“快乐之源”多巴胺(该神经递质负责传递快感信号,因此一直有着“快乐之源”的称号),在大脑的运动皮质部位,就会“改行”传递运动信号,也算是“身兼多职”。
毒蘑菇如何造就“奇幻世界”?
相信大家在众多的网帖之中,已经充分领略了“云南毒蘑菇”在致幻方面的威力,其实,自古以来,毒蘑菇的致幻特性就被人类所了解和利用,例如在美洲非常有名的致幻蘑菇裸盖菇,原本就是土著人用于宗教仪式上“升华心灵”的道具。而在现代,毒蘑菇中的有效成分不仅是医学研究的“常客”,也经常被不法之徒合成出来,当做派对上的毒品使用。
不过看到这里,你可能会有一个疑问:毒蘑菇中究竟是有什么样的物质,才能够让人在服用之后陷入无尽的“奇幻世界”呢?其实,致幻毒蘑菇中的有效物质,可以看成是神经递质的“李鬼”,因为它们不仅在化学上均为可以自由渗透进神经系统的小分子,而且还有着极为相似的结构,甚至能够同样作用于神经细胞的“信号站”突触……只不过,神经递质在大脑中做的是“传达命令”的正事,致幻蘑菇的有效物质,非但不能完成信号传递,反而会向神经细胞发放错误的信号,从而扰乱神经系统的正常工作。在服用此类物质后体验到的幻觉,其实就是神经细胞接受到一系列和外界毫无关联的信息之后,处理得到的结果。

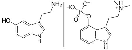
致幻蘑菇裸盖菇中含有的有效物质为赛洛西宾(psilocybin,结构见右),其结构与正牌神经递质5-羟色胺(serotonin,结构见左)极为相似
当然,这样的“奇幻世界”,可并不是什么好现象。因为致幻毒蘑菇可以扰乱神经递质对信号的正常传递,所以人们在陷入幻觉之后,便很难对外界的情况作出准确理性的判断。正如那些网帖中所叙述的一样,毒蘑菇中毒之后,由于幻觉作出各种尴尬事并不少见,但这却是最幸运的——因为有不少人在有意(为了追求“快感”和精神“享受”)服用致幻毒蘑菇之后,丧命于荒唐不理智的行为(如认为自己有“超能力”而从高楼中纵身跃下),或陷入危险境地(如火灾现场)之中难以逃离。
世间还有那些“魔幻”植物?
令许多人意想不到的是,世间能够让人陷入“奇幻世界”的植物,可远远不止毒蘑菇一种。中东地区的恰特草、南美的古柯树、墨西哥的仙人掌,都是这之中的代表:
恰特草:中东的阿拉伯人早在古代,就将恰特草作为一种茶余饭后的“消遣”,只不过他们的传统习惯是咀嚼恰特草的叶子,有效物质的吸收很有限,危害自然也没有吸毒大。恰特草中含有的物质是卡西酮,而此类物质如今已经成为了泛滥全球、影响恶劣的毒品,美国著名的“迈阿密食脸男”事件,犯罪者就在事前吸食了卡西酮类物质。
古柯:同裸盖菇一样,古柯也是从传统宗教仪式中被发现的,能够影响精神能力的植物。在20世纪之前,古柯中能够导致幻觉的物质可卡因,还是著名的局部麻醉药(辅助小手术进行、消除局部痛觉的药物)。不过由于潜在的滥用风险,可卡因早已退出了历史舞台,但黑市上的可卡因还是屡见不鲜。
墨西哥仙人掌:这种原产于墨西哥的仙人掌,同样是当地土著宗教仪式的宠儿。而且由于它的种植更为简单、要求更低,它在全球范围内的滥用更加不容忽视。另外与其他几种致幻植物不同的是,墨西哥仙人掌的有效物质麦司卡林(mescaline)和其他毒品(如俗称“冰毒”的甲基苯丙胺)在化学上的关系十分密切。

!评论内容需包含中文