印度女神在梦里做这件事 他醒来后成最伟大数学家
假设你是个没受过什么教育的孩子,你突然和朋友说,我要成为伟大的数学家,朋友可能会吐槽说:“你作梦吧!”但是,万万没想到到,真的有人靠作梦就成了数学家,而且他的数学公式,还引领了人类进步100年!他就是印度数学大师──斯里尼瓦瑟˙拉马努金(Srīṉivāsa Rāmāṉujan Aiyaṅkār),千年一遇的天才。
拉马努金出生在印度一个穷困潦倒的家庭,童年时期家境很穷,他常常衣衫褴褛、踩着破草鞋, 12岁时,高年级的同学借给他一本数学家朗内写的《三角学》,他在很短的时间里就完全读懂了整本书,做出了书中所有的问题,还推导出了欧拉公式:eix=cosx+isinx,他的数学天赋很高,即使只是看看教科书,也能无师自通,发现新定理。
拉马努金的数学领悟力很高。
然而在他14岁时,不同寻常的事情又发生了——那个同学又给了他一本英国数学家卡尔写的《纯粹数学与应用数学概要》,他打开这本书发现,里面有5000多个复杂的数学公式,但只写出了结果,而没有给出证明过程。拉马努金虽然只有接触数学4年,学校也只教过最简单的数学运算,但这本公式他扫一眼,脑海中就能浮现出证明过程!后来他以优异的成绩考入大学,每天废寝忘食,只研究数学,就在这时神奇的事情又发生了,他每天晚上睡觉的时候,都会梦到自己所信宗教的女神——娜玛卡尔女神。
拉马努金醒来以后,脑子里充满了各种各样的公式,那以后,女神每天都出现在他的梦里,给他灵感。所以,拉马努金每天清晨都要赶快拿出笔记本,把冒出来的公式记在本上,由于笔记本的费用对他来说很高昂,所以每次女神给他恩惠的时候,他只把最终得出的,最简化的公式抄到本上。从几年下来,他得到了3900个复杂的公式!
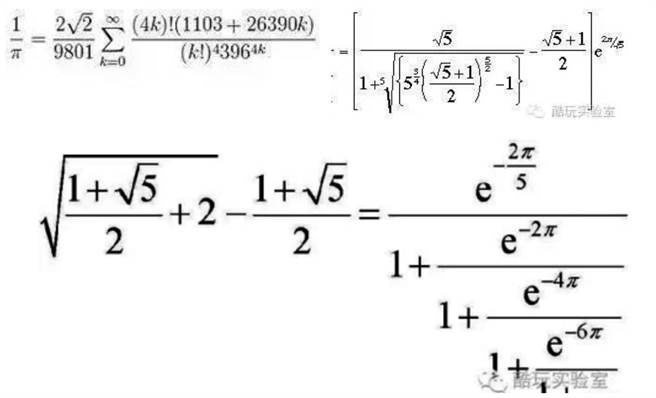
拉马努金的数学公式。
这是一个甚么样的公式呢?相当于爱因斯坦什么都没干,一觉醒来就得出了E=MC平方的质能等价方程式,相当于牛顿在苹果树下睡了个午觉,醒来就写下了三大运动定律!而3900个这样的公式,可以说是精华中的精华。由于当时印度的数学水准很落后,周围的老师们都不理解,甚至嘲笑他的公式是一堆垃圾。1913年,他把自己成果中的一小部分,写信分别寄给了3位英国数学家,其中一位回了信,他就是当时英国最有才华的数学家——戈弗雷˙哈罗德˙哈代(Godfrey Harold Hardy)。
哈代。
哈代到底有多厉害呢?在哈代以前,欧洲大陆的数学家,一直和英国的数学家存在矛盾,彼此不相往来,使得英国数学落后其他国家很远,直到哈代出现,他凭藉一己之力,创立了数学领域中的哈代学派,把整个欧洲数学研究的区域重心移转至英国,许多有世仇的外国数学家,全都不计前嫌地前往英国,拜访这位绝世的大师。就在哈代学术生涯最顶峰的那个时期,他收到了一封印度的来信,就是我们的主人公,拉马努金的来信,信中列出了100多个复杂的公式。
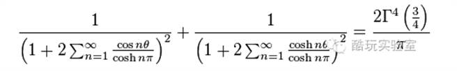
哈代看到的数学公式。
哈代看完这封信后表示:“这上面的每一个公式,都超出了最高级数学考试的标准!”后来他仔细研究,发现即使是他这样的天才,也完全无法发明如此复杂的公式,有些公式甚至让他难以理解。他立刻寄钱给拉马努金,让他来到英国剑桥大学深造,结果哈代发现了更令他惊讶的事情——拉马努金几乎没受过任何像样的数学教育,许多常识性的数学定理,他从未听过。拉马努金把他之前写满公式的笔记本让哈代过目,哈代看完后也对他五体投地!笔记本里记录着整个欧洲史上所有重要的数学公式,而这只占了三分之一,剩下三分之二是他没有见过的全新公式。哈代感慨道:“他一个人就战胜了整个欧洲数学界。”
两人对于数学贡献很大。
他评价拉马努金,是超越整个世纪,1000年也遇不到的数学奇才,可以与欧拉、高斯,这种等级的天才相比拟,智商超群的数学家哈代,在他面前就只能俯首称臣。他们在一起的5年里,写出了29篇重要的论文,为数学界做出了巨大的贡献,哈代将这段经历描述为“我一生中最浪漫的事”!拉马努金后来患上肺结核。1920年,他的病严重恶化,哈代带着病危的他搭计程车去医院,当时计程车的车牌号是1729,哈代觉得这个数字毫无规律,认为有不好的征兆,而拉马努金迅速说道:“不,1729是个很有规律的数字,它既是1的立方与12的立方之和,也是9的立方与10的立方之和。”然而这次对话成为了两人最后的故事。
拉马努金最后一个公式,竟然与黑洞有关。
拉马努金在临终前,他又梦到了女神,并且用手写下了最后一个数学公式,这个公式让同时代所有的数学大师都不解,只能猜测它描述了一种神秘的函数。2012年,这个神秘的公式终于被破解,科学家们说这个公式对黑洞行为的研究具有帮助,然而在100年前,人类根本不知道什么是黑洞!1976年,有人在剑桥大学图书馆,发现了拉马努金的第4本笔记,里面记载了600多个令人匪夷所思的数学公式,后来,随着人类科技的进步,科学家们发现他那些令人费解的公式,对现代人工智慧、粒子物理、统计力学、电脑科学、密码技术和空间技术等不同领域起着相当重要的作用,也就是说,他的数学公式引领了人类科学进步100年。

!评论内容需包含中文