起初神创造了天地。大地空虚混沌; 深渊的表面一片黑暗;神的灵运行在水面上。神说,“让它有光”,于是就有了光。 神看见光是好的;神将光明与黑暗分开。 -创世纪 1:3
1905 年爱因斯坦在题为“关于运动物体的电动力学”(On the Electrodynamics of Moving Bodies)的论文引言里谓:
我们建议将“相对性原理”这个猜想(conjecture)提升到一个公设(postulate)的地位,并引入另一个表面上与它不调和(irreconcilable)的公设,即光在真空中的传播速率为一与发射体运动状态无关的定值 c。这两个假设足以(让我们)透过适用于静止物体(状态)之马克斯威(James Maxwell)理论,导出一个简单且不矛盾(consistent)的电动力学理论。
爱因斯坦真大胆:一个可以用实验来确定的光速,怎么可以定为“公设”呢?光速与发射体运动状态无关不是完成违反了我们日常生活的经验(如声速)吗?
更令人难以相信的是:当时的物理与天文学家因为马克斯威方程式(Maxwell Equation)的成功,都认为空间充满了绝对静止的“以太”,“光速为定值”仅是相对于这一固定的“以太”而言;而爱因斯坦竟初生之犊不畏虎,开宗明义地谓不要争辩了,我们将光在真空中的速度“公订”为与发射体运动状态无关的定值 c!幸运地,在“立即引起了我的热烈关注”下,当时欧洲受人尊敬的理论物理学大师普朗克(Max Planck)立即在柏林大学开始讲授相对论,并公开为爱因斯坦的抽象概念理论辩护!由于普朗克的影响,这篇爱因斯坦根本没想到是“革命性的”、完全改变牛顿之时空观念的论文终于与量子力学一起开创了近代物理学。
当然,我们现在知道实验上已经证明了这一“公设”的正确性;爱因斯坦怎么那么“神”呢?

爱因斯坦以大胆创新思维,突破常规,开创物理学新纪元。
随“光”逐流
第二次世界大战结束后不久,爱因斯坦受邀在“世哲学家图书馆”(Library of Living Philosophers)撰写一篇知识分子自传(注一)。在该《自传笔记》(Autobiographical Notes)里,爱因斯坦开张写道:“我坐在这里是为了在 67 岁时写一些类似于我自己之讣文的东西”,然后以无与伦比的温暖和清晰解释了他的思想路径:从年轻时对几何的兴趣,转向马克斯威、马赫(Ernst Mach)、和波尔(Niels Bohr)等哲学、科学家对他自己之理论发展的影响。此书是爱因斯坦留给我们的唯一个人自传笔记,为科学史上的一部经典著作。
在讲述导致狭义相对论的发展时,爱因斯坦在《自传笔记》中回忆道:
…..我在十六岁时就已经遇到了一个悖论:如果我以速度c(真空中的光速)追逐上一束光,我应该观察到其电磁场将是静止不前进,只是在空间上振荡而已。然而,无论是根据经验,还是根据马克斯威方程组,这现像似乎不存在。(因此)从一开始,我就直觉地清楚看到,从这样一个观察者的角度来看,一切都必须按照与相对于地球静止的观察者相同的定律发生。第一个观察者如何知道或能够确定他处于一快速、等速的运动状态?从这个悖论中可以看出,狭义相对论的种子已经包含在内。
爱因斯坦如何解决这悖论呢?
一场风暴
爱因斯坦在瑞士专利局任职时,经常与“奥林匹亚学院”(Olympia Academy)的成员讨论光速之谜。1905 年 5 月中旬,他突然想到光速之谜的答案就隐藏在用于测量时间的程序中,他回忆说:“我的脑海中掀起了一场风暴”。隔天一大早碰到一位工程师同事就迫不及待地告诉说:“我已经彻底解决了这个问题。对时间概念的分析是我的解决方案:时间不能是绝对的,时间和讯号速度之间存在着密不可分的关系。”
在风暴中,爱因斯坦匆匆忙忙地在数周内完成了那革命性的狭义相对论论文。在此让我们看看为什么他认为“时间和讯号速度之间存在着密不可分的关系”。
爱因斯坦同步程序
要测量光速,必须让光讯号在已知距离内从一个位置跑到另一个位置,然后透过起点和终点的时钟读数之差异来确定传播时间。因此用于测量传播时间的时钟必须同步,否则它们之读数差异将毫无意义。可是我们却需要利用光速来同步化两个不同地方之时钟,这显然是“鸡生蛋、蛋生鸡”的循环逻辑问题。
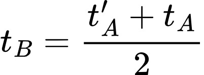
爱因斯坦的风暴就是他终于想出了可以避免循环逻辑的同步化假想实验:在 tA 时从 A 发出一道光线,当它在 tB 到达 B 时立刻让它反射回去,于 t’A 时到达 A;如果

则我们称 A、B 两地的时钟精确地同步化了。例如 A 在 1:00 发出光信号,1:10 收到反射回来的光信号,如果 B 收到光信号的时刻是 1:05(或者将它调到 1:05),那么 A、B 两地的时钟便是同步。今天的物理学家将此方法称为“爱因斯坦同步程序”( Einstein Synchronization Procedure )。
光速定值的“公设”
爱因斯坦接着说:“另外,根据经验,我们进一步要求

为普适常数(真空中的光速)。”这是根据经验计算光在两点间之平均速度的方法,毫不起眼,但却隐藏着一个非常不寻常的“阴谋”?
逻辑告诉我们:如果我们用另一毫不起眼的 tB 定义去测单方向的光速(A 到 B或 B 到 A),其值一定是 c ( 注二 )!因此爱因斯坦说:“…我们根据定义确定,光从 A 传播到 B 所需的时间等于光从 B 传播到 A 所需的时间。”也就是说爱因斯坦在这里从“平均速度”及“爱因斯坦同步程序”的定义,魔术般地导入了他的公设:光在任何方向的速度都是一样的 c 值!
为什么这是个“阴谋”呢?在爱因斯坦的假想实验中,我们既然不需要知道光的速度,为什么不用声音呢?答案很简单:因为我们知道声速会受到 A、B 两点与空气之相对速度的影响;如果风从 A 吹到 B,那么 B 收到声音的时间将比爱因斯坦之 tB 早! 可是那时候几乎所有的物理学家都相信光是在“乙太”中传播的(见后),爱因斯坦怎么知道光速不会受到 A、B 两点与“乙太”之相对速度的影响?
历史上最“失败”的实验
在“近代物理的先驱:马克斯威”里,笔者提到曾被评选为有史以来第三大物理学家马克斯威用简洁数学方程式━“马克斯威方程式”━阐释了当时已知的电磁现象。1865 年,马克斯威透过其方程式导出电磁波的存在,并证明光事实上就是一种电磁波!光既然是一种波动,那像水波及声波一样应该有传播的媒体(介质),物理学家开始寻找这一称为“乙太”的媒体,并测试地球在这一媒体中的运动状态。
这些实验中最有名的是后来被称为历史上最“失败”的实验:1887 年,迈克尔森(Albert Michelson)与莫利(Edward Morley)用光干涉仪测量地球与乙太的相对运动速率。迈克尔逊和莫利预计会发现:分道扬镖的两道光束在不同时间回到探测器,从而可以计算出地球在乙太中的运动速度。但他们非常失望地发现:无论光向哪个方向传播,它总是以相同的速度移动,因此下结论説:如果乙太存在,地球与乙太的相对运动速率为零!他们认为这有两种可能的解释:(1) 在地球表面之乙太被地球拖着走;或 (2) 根本没有乙太(参见“乙太存在与否的争辩”)。但更简单的解释应该就是爱因斯坦的不要争辩“公设”;可是谁敢提出这种违反常识的论调呢?或许只有当时还是默默无闻的瑞士专利局小职员吧?
可是爱因斯坦回忆说:“在我自己的发展中,迈克尔逊的结果并没有(对我)产生很大的影响。我甚至不记得当我写第一篇关于这个主题的论文时(1905 年),我是否知道它。”然而爱因斯坦也在许多场合中曾经反覆使用“可忽略不计”、“间接”、“非决定性”等词汇来形容迈克尔逊实验对他思想的影响…。看来“爱因斯坦当时是否知道迈克尔逊实验结果”这个问题将永远是个悬案。但可以肯定的似乎是:即使爱因斯坦知道迈克尔逊的结果,它对爱因斯坦理论的起源贡献应该是非常小和间接的,绝对不是他发现相对论的主要推动因素。
事实上前面提到:爱因斯坦根本可以不需要知道,因为在他的时钟同步程序下,光速一定是定值,与实验结果或“乙太”是否存在无关。相反地,如果爱因斯坦清楚不用时钟同步化的迈克尔逊-莫利实验,那风暴可能就不会产生了!
时钟同步化与光速无关
测量单方向光速实际上并不需要同步化的两个时钟(即没有循环论证的问题)。例如 A、B 两地皆在赤道上,A 在 1:00 发出光信号,B 在收到光信号后等 12 小时再发射回去,如果 A 在收到 B 光信号的时间是 13:04,那么因为地球 24 小时自转一次的关系,AB 距离除以 0.02 便是光单方向(相对于宇宙)的速度。在这一个实验中,A、B 两地的时钟跟本不必要同步化,只要它们的精确度是一样就可以了。
人类早在 18 世纪初就已经知道如何制造相当精确及稳定的时钟:哈里森(John Harrison)是英国的一名木匠,自学了钟表制作;在 1720 年代中期,他设计了一系列卓越的精密长壳时钟,其精确度已经高达一个月仅差一秒(注三)。我们可以将两个 Harrison-IV 时钟在 A 处校正,然后慢慢(原则上无限地慢)将其中一个移到它处,不但可以用它来同步化这些地点的时钟,还可以用来直接测量单方向的光速。
还有,首次确凿证明地球在动的布拉德利(James Bradley)早在 1729 年就已经透过“星光像差”(stellar aberration)测得高达 0.4% 精确度的光速;而发明“傅科摆”(Foucault pendulum)来证明地球在自转的傅科(Léon Foucault)则在1862年透过旋转镜与单钟测得 0.6% 精确度的光速。
马克斯威方程式也告诉我们,不需要使用任何时钟,透过测量自由空间的磁导率和介电常数即可间接计算光速,完全避开爱因斯坦的循环论证逻辑。事实上马克斯威 1865 年就是用这两个实验数据计算出电磁波的传播速度为每秒钟 310740000 米,接近当时光速的(傅科)实验值。马克斯威认为这不会是巧合,谓:“我们几乎无法避免这样的结论:光存在于同一介质的横向波动中,这是电和磁现象的原因”,因此他预测光是一种电磁波。
上面这些说明了 20 世纪黎明前,科学家就已经知道了:时间(校时)和讯号速度之间并不存在着密不可分的关系。事实上爱因斯坦更应该知道,因为当他被问到是否站在牛顿的肩膀上时,他回答说:“不,是站在马克斯威的肩膀上!”所以不知道爱因斯坦是否故意没想到这些,以便透过阴谋来创造相对论?在今天,爱因斯坦那篇没有任何参考资料的相对论论文是不可能被接受发表的!
爱因斯坦的规定
在爱因斯坦同步程序下,无论光的实际速度是多少,光速测量起来总是定值 c。难道爱因斯坦不知道这“魔术”充满了漏洞吗?一个可能的解释是 19 世纪末电报线和铁路将整个欧洲连接成一个巨大的网络,为了以确保讯息、乘客、和货物的顺利流动,同步时钟是非常实际的考虑;爱因斯坦是专利局电讯操作设备的技术专家,负责审查时钟同步的网络电磁设备之专利申请,因此他一定在思考时钟同步问题,加上经年累月地为光速所困,似乎很自然地便往这牛角尖里钻。

图/wikimedia
我们知道魔术是骗人耳目与大脑的,不能用在科学上。光速是可以量的,怎么可以根据定义确定(光从 A 传播到 B 所需的时间等于光从 B 传播到 A 所需的时间)?因此在其 1916 年之科普“相对论:狭义理论与广义理论”一书中,爱因斯坦辩说:“(假设 M 在 A、B 两处之正中间)实际上光需要相同的时间穿过路径 AM 和穿过路径 BM,这既不是关于光之物理性质的假设(supposition)、也不是假说(hypothesis,注四),而是我可以根据自己的自由意志做出的规定(stipulation),以便得出同时性的定义(注五)”。换句话说,爱因斯坦认为光速恒定是一种“规定”,与物理无关,无需解释其真伪(注六)。且听“创相对论纪 1:3”道来:
19 世纪中旬马克斯威创造了马克斯威方程式。大地充满了乙太;深渊的里面测不出地球的运动;爱因斯坦的灵运行在其中。爱因斯坦说,“让光速为定值”,于是光就依定值传播。爱因斯坦看见定速是好的;爱因斯坦将定速与乙太分开。

结论
从上面的分析看来,爱因斯坦这“光速为定值的规定”似乎是建基于错误的认知上,所以显然爱因斯坦其实没有那么神!
开玩笑的,事实上爱因斯坦是笔者佩服的极少数科学家之一!在“思考别人没有想到的东西──谁发现量子力学?”一文里,笔者指出:当普朗克还一直在努力地想让他的量子解释能容于古典力学时,爱因斯坦已认识到量子不连续性是普朗克黑体辐射理论的重要组成部分!也只有爱因斯坦能看出波思(Satyendra Bose)一篇被英国名物理杂志退稿、题为“普朗克定律及光量子的假设”的重要性,开创了量子统计力学!更奇怪的是:他被证明是错的“EPR 悖论(EPR Paradox)”竟推动了许多如量子密码学、量子计算机、量子资讯理论、量子远程传送等的研究;而他自认是一生中最大错误的“宇宙论常数”则成为研究近代宇宙的主要工具。……因此笔者总觉得爱因斯坦虽然像常人一样犯错,但对物理却具有一般人所没有的第六感!或许爱因斯坦心里早就预感光速应该是定值(注七),其同步程序只是设计出来“证明”光速恒定的妙计?
虽然以卓越教学而备受赞赏的慕尼黑大学理论物理学教授萨默费尔德 ( Arnold Summerfeld ) 曾于 1907 年对爱因斯坦的公设提出“微辞”,但现在物理学家从未公开批评该相对论公设,只是默默地屏弃此一公设,改采将光速恒定作为可以实验验证的物理定律(经验基础):光速恒定不是规定,而是根基于实验的自然界基本定律。
如果光相对于爱因斯坦的速度永远为c, 那么他将永远无法随“光”逐流看到光驻波,爱因斯坦不但终于解决了他16岁时所迷惑的悖论,还开创了相对论!
注释
(注一)《世哲学家图书馆》系列的第七卷(Paul Arthur Schilpp编辑,美国纽约市 MJF Books 出版,2001 年元月一日重印版)。单行本:《阿尔伯特·爱因斯坦:哲学家-科学家》(Albert Einstein: Philosopher-Scientist;Open Court,3rd edition,December 30, 1998)。
(注二)笔者读过多次爱因斯坦同步程序,从没想到被骗;视而不思,真是书呆子一个!
(注三)2023 年初可携带型的商业原子钟精确度高达 10-11%。
(注四)大英百科全书:科学假设是对自然界中观察到的现像或一组狭窄现象提出初步解释的想法。
(注五)参见『不用数学就可以解释──相对论的著名想象实验“双胞胎悖论”』。
(注六)这种不顾物理的随心所欲“规定”使笔者想到了波尔于 1913 年提出的:“电子虽然如行星绕日,但它的轨道却不能随便,而必须适合一个新的条件,即量子条件(quantum condition)。在这种轨道条件下的电子是稳定的,它可不服从电磁理论,因此也就不须放射出电磁波。”波尔轻而易举地用“规定”的方法解决了拉塞福 ( Rutherford ) 原子模型与电磁理论的冲突(参见“原子的构造”)。当然,波尔原子模型的成就不只解决这冲突而已,它事实上解释了当时存在的部分光谱问题,推动了新力学的迅速发展。同样地,爱因斯坦的规定不只提出了“同时”是相对的观念,还开创出一个新的力学。
(注七)用两个简单的公设就可推导出当时已知的洛伦兹转换方程式(Lorentz transformation)、时间膨胀(time dilation)、洛伦兹—傅玆久拉空间收缩(Lorentz-FitzGerald contraction )等公式,这绝对不可能是一个巧合。

!评论内容需包含中文