■一个自己是自身反粒子的粒子,有助于量子电脑的发展。现在,也许科学家已经发现它了!

在材料边界上的一对Majorana粒子示意图(图片来源:Max Planck Institute for Solid State Research. Originally, it was showing Dirac cones on edges.)
撰文|陈奕廷
“以前我曾试着想,有哪些物理现象是物理学家们梦寐以求、能深刻影响基础科学的发现呢?”美国史丹福大学物理系教授张首晟在一场演讲中提到,他曾列下希格斯粒子、重力波、马约拉纳(Majorana)粒子、轴子和磁单极。长期从事拓朴材料研究的他不掩兴奋地说道:“希格斯粒子和重力波都陆续被发现了。我想下一个应该是马约拉纳粒子吧?”自从2012年以来,陆续有许多间接的实验揭露马约拉纳粒子的足迹。如今,我们有了更直接的证据。
埃托雷‧马约拉纳(E. Majorana)在1937年提出一种奇异的粒子,这种粒子自己是自己的反粒子。起初,这个粒子的提出是为了解决粒子物理中费米子与玻色子的对称性问题。近年来,科学家在材料中找到和马约拉纳粒子有相同性质的粒子,被认为是实现量子电脑的最佳候选人之一,而成为极度热门的研究领域。
●量子电脑
相信大家对“量子电脑”这个名词都不陌生。它拥有前所未有的计算能力,能破解现有的加密系统。不过,究竟量子电脑和你正在使用的这台古典电脑差在哪里呢?量子电脑的核心是运用量子力学中的叠加原理。古典电脑若要破解密码,必须要尝试键盘上所有按键的组合,几乎没有机会试到正确的答案。相较之下,量子电脑可以将许多密码叠加成一个状态,仅仅需要做一次的计算,就能把密码找出来[注1]。
既然量子电脑这么棒,为什么台积电还要一直做古典电脑使用的晶片,而不赶快把它做出来呢?其中一个原因在于耗散问题。古典电脑的位元其实也有耗散问题,需要时时地充电以维持0或1的状态。但量子位元的制造已经很困难,要能精确地维持状态更是难上加难。因此,与其费尽心思想一个维持状态的方法,不如思考如何减少耗散,而马约拉纳粒子正是关键之一。
●马约拉纳粒子和半个电子
在数学上,电子可以写成两个“半个电子”,但是在材料中,一组半电子通常都是成对出现的,所以不太具有实质上的意义。20世纪末,加州理工学院的物理学家Alexei Kitaev提出一种叫做Kitaev链的结构,能将一组半电子分别侷限在材料的两端,而这两个半电子恰好具有马约拉纳粒子的性质。尽管马约拉纳粒子位于Kitaev链的边界,但其性质和其边界一点关系都没有,而是和材料整体的特殊结构和电子的交互作用有关。因此,只要材料大致结构和电子交互作用不变,尽管边界存在缺陷,基本上马约拉纳粒子也不会耗散。这个性质使马约拉纳粒子成为量子电脑的潜力股。若我们将0跟1分别储存在Kitaev链左边和右边的粒子,我们也许能解决量子电脑的耗散问题。
在现实生活中,Kitaev链的结构可以在超导体中实现。在超导体中存在许多成双成对的马约拉纳粒子,但是要如何像在Kitaev链一样把它们分开呢?答案就在一种新颖的超导体中—拓朴超导体。在某些拓朴态下,拓朴超导体可以看成是半个超导体,只能容许一个马约拉纳粒子通过,因此能实现单个马约拉纳粒子。要在实验中做出拓朴超导体有很多方法,其中一个最简单也最直接的做法是将超导体和拓朴材料放在一起(图一)。透过超导体的邻近效应(proximity),超导体中的古柏对(Coper pair) 会穿隧到拓朴材料中,使其变得超导并形成拓朴超导体。这就像是谚语“近朱者赤,近墨者黑”的道理一样,近超导体者超导。
![图一:拓朴超导体(topological superconductor, TSC)和拓朴材料摆在一起。QAHI为一种拓朴材料中常见的拓朴态。(i)一般情况下TSC能让一组马约拉纳粒子(红色和绿色箭头)通过,无法将他们分开。(ii)在特殊的磁场中,TSC能将他们分开。如图所示,在TSC的部分只有红色箭头。(图片来源:参考资料[1])](/content/uploadfile/201611/fig1.png)
图一:拓朴超导体(topological superconductor, TSC)和拓朴材料摆在一起。QAHI为一种拓朴材料中常见的拓朴态。(i)一般情况下TSC能让一组马约拉纳粒子(红色和绿色箭头)通过,无法将他们分开。(ii)在特殊的磁场中,TSC能将他们分开。如图所示,在TSC的部分只有红色箭头。(图片来源:参考资料[1])
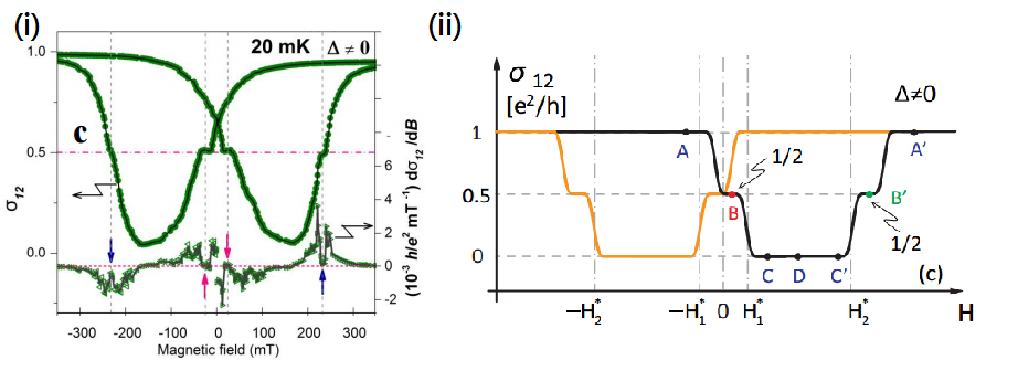
近日,一组中美合作的物理团队在实验上观测到了马约拉纳粒子的踪迹。科学家们制作出如图一的装置,并施加不同的磁场,使装置中各个部位经历不同的拓朴态变化。在一般的拓朴材料加上磁场后,会从绝缘态(电导G=0) )变为像图一(i)的拓朴态(电导电导G=e/ℏ^2 )。但是在特定的磁场下,拓朴超导体会使整个系统在绝缘态和拓朴态中插入一个新的状态(图一(ii)) (电导G=0.5*e/ℏ^2 )。这个状态透过前段所述的原理将马约拉纳粒子分开。
![图二、(i) 实验量测到电导随磁场变化。(ii)理论计算电导随磁场变化。量测在20mK(绝对零度上0.020K)中进行。(图片来源:参考资料[1][2])](/content/uploadfile/201611/fig2-1.png)
图二、(i) 实验量测到电导随磁场变化。(ii)理论计算电导随磁场变化。量测在20mK(绝对零度上0.020K)中进行。(图片来源:参考资料[1][2])
近年来,有许多实验提出了马约拉纳粒子存在的间接证据,包含光谱、中子散射频谱等。除了对基础物理有更深刻的理解之外,马约拉纳粒子最大的价值是将它特殊的传输性质应用于量子电脑中。这份研究第一次观测到马约拉纳粒子的传输性质,其意义相较其他研究更为独特。期待这份研究能激发更多基础物理和量子电脑研究,使量子电脑早日诞生!
[注1] 不同加密方法需要不同的破译方式。文中用“一次”仅限于某些情况,用来强调量子电脑的计算能力,但不同加密方法也许需要一次以上。
参考资料:
[1] Qing Lin He et al., Chiral Majorana edge state in a quantum anomalous Hall insulator-superconductor structure, arXiv:1606.05712 (2016)
[2] Jing Wang et al., Chiral topological superconductor and half-integer conductance plateau from quantum anomalous Hall plateau transition, Phys. Rev. B 92, 064520 (2015)
--
作者:陈奕廷,台大物理系学士,史丹佛大学应用物理系博士班就读中。

!评论内容需包含中文